Rumusbilangan.com- Pada pembahasan kali ini, kita akan membahas makalah mengenai materi tentang rumus integral substitusi dan contoh soal intergral substitusi dan pembahasannya lengkap.
Dalam soal integral mempunyai banyak keragaman tersendiri, sehingga dalam penyelesaiannya juga memerlukan metode – metode yang beragam tersendiri pula. Untuk itu, kita harus bisa memahami suatu metode – metode yang tepat untuk menyelesaikan berbagai ragam soal integral.
Untuk itu, melalui artikel ini, kita akan membahas materi mengenai rumus – rumus dan contoh – contoh dari soal integral tersebut. Oleh karena itu marilah kita simak pembahasannya …

Pengertian Integral Subtitusi
Di dalam bidang kalkulasi, integral substitusi atau substitusi – u ialah salah satu metode untuk mencari suatu integral dengan mensubstitusi salah satu variabel dan mengubahnya menjadi sebuah bentuk yang lebih sederhana.
Contohnya:
Contoh 1:
Perhatikan sebuah integral berikut:
Apabila kita melakukan substitusi u = (x2 + 1), maka diperolehlah du = 2x dx, maka sehingga x dx = ½du. Lalu kita substitusikan ke dalam sebuah bentuk integralnya:
Perlu diingat bahwa di pembahasan ini batas bawahnya yaitu: x = 0, diganti dengan u = 02 + 1 = 1, dan batas atas x = 2 diganti dengan u = 22 + 1 = 5, maka dalam kasus ini u tidak perlu diubah kembali menjadi x.
Contoh 2:
Untuk sebuah integral:
Substitusi yang sebaiknya dilakukan yaitu: x = sin(u), dx = cos(u) du, sebab :
Contoh 3:
Metode substitusi ini bisa digunakan untuk mencari antiturunan, yaitu dengan menentukan hubungan antara x dan u serta dx dan du. Berikut ini ialah contohnya:
Rumus integral substitusi digunakan pada bagian dari sebuah fungsi merupakan suatu turunan dari fungsi lainnya. Biasanya, soal integral yang bisa diselesaikan dengan cara menggunakan substitusi yang terdiri dari 2 faktor , yang mana turunan dari salah satu faktornya mempunyai sebuah hubungan dengan faktor lainnya.
Rumus Integral Subtitusi
Pada bagian awal kita sudah sedikit membahas tentang ciri – ciri soal integral yang dapat diselesaikan dengan menggunakan sebuah rumus integral substitusi.
yang mana intinya, ciri – ciri dari soal integral yang bisa diselesaikan dengan menggunakan rumus integral substitusi yaitu yang mempunyai faktor yang merupakan turunan dari faktor lainnya.
Coba kita perhatikan salah satu contoh soal integral yang bisa diselesaikan dengan menggunakan rumus integral substitusi di bawah berikut:
Soal integral yang diberikan di atas berikut adalah sebuah soal yang tidak bisa diselesaikan dengan menggunakan rumus integral umum seperti biasa.
Perlu sebuah teknik dan metode yang tepat untuk mendapatkan nilai integralnya. Metode yang tepat untuk menyelesaikan soal integral di atas yaitu rumus integral substitusi.
Rumus integral substitusi dapat diberikan dengan melalui persamaan di bawah berikut ini:
Contoh Soal Integral Subsitusi
Selanjutnya kita coba bahas contoh soalnya berikut ini:
Coba kita perhatikan kembali soal integral yang diberikan berikut ini:
Turunan dari ialah
.
Maka, dengan demikian, kita bisa menduga bahwa soal integral di atas dapat diselesaikan dengan menggunakan sebuah rumus integral substitusi, dengan pemisalan sebagai berikut: .
Perhatikanlah proses lengkapnya yang akan di bawah ini:
Contoh:
Maka,
Sesudah kita mendapatkan hasil akhir dalam persamaan u, maka kita perlu mengembalikan kembali pemisalan yang kita lakukan di awal.
Maka, hasilnya ialah seperti berikut:
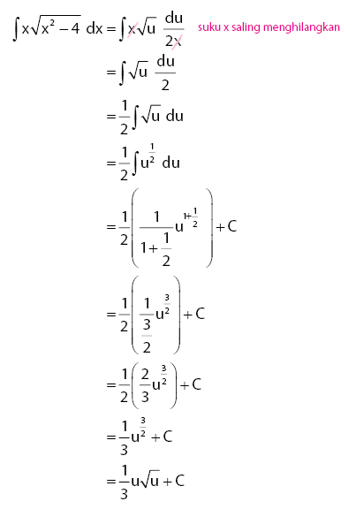
Untuk lebih mantapnya, mari kita coba membahas soal lagi berikut:
Contoh 1:
Tentukanlah dari ∫ x2 (x3 + 5)7 dx = …
Pembahasan :
Misalkan : u adalah x3 + 5
= 3x2 ⇔ = x2 dx
∫x2(x3+5)7dx
= ∫(x3+5)7x2dx
= ∫u7du3
= 13∫u7du
= 13⋅18u8+C
= 124u8+C
= 124(x3+5)8+C
Contoh 2:
∫4xx2−2 dx = …
Pembahasan:
Misalkan : u = x2 – 2
= 2x ⇔ du2 = x dx
∫4xx2−2dx
=4∫1×2−2⋅xdx
=4∫1u⋅du2
=42∫u−12du
=2⋅2u12+C
=4u+C
=4×2−2+C
Demikianlah pembahasan kita hari ini mengenai Rumus Integral Subtitusi. Semoga bermanfaat ….
Baca Juga:


